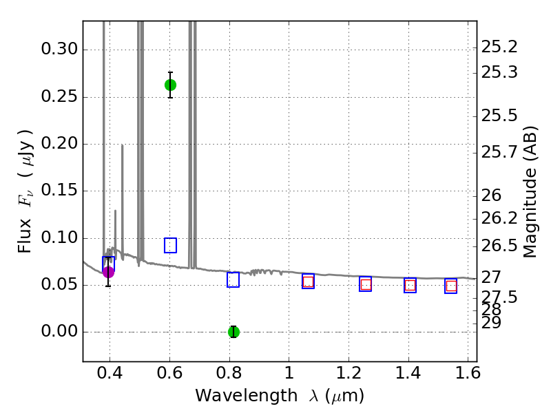
RXS0603+42-S IR detection object #3710

Color images and BPZ results
Catalog: 3710.cat
Black segments are analyzed here.   Roll mouse over color images to view segments.
Best viewed in a wide browser window (1200 pixels or more).   Download SED & P(z) plots to view larger versions.
In P(z) plots: Yellow lines mark the cluster redshift z = 0.228,  

Object #3710   x,y = (1516, 2742)   RA, Dec = (06:03:31.728, 42:10:10.92) = (90.88220, 42.16970)   BPZ = 0.018 [0.010--0.039]   type = 11.00 (SB11_A_0_l)   stellarity = 0.72   chisq2 = 171.90   ODDS = 1.00   z_cluster = 0.228