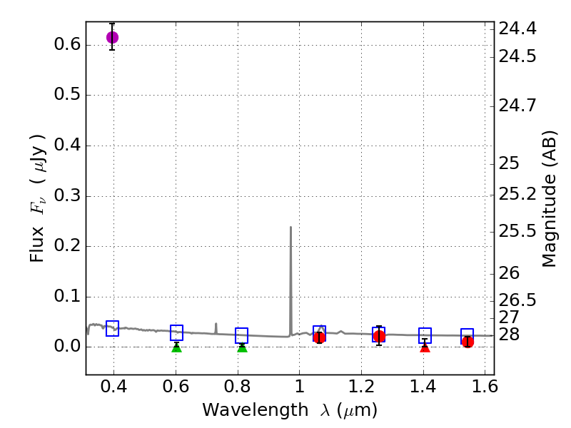
RXS0603+42-S IR detection object #3687

Color images and BPZ results
Catalog: 3687.cat
Black segments are analyzed here.   Roll mouse over color images to view segments.
Best viewed in a wide browser window (1200 pixels or more).   Download SED & P(z) plots to view larger versions.
In P(z) plots: Yellow lines mark the cluster redshift z = 0.228,  

Object #3687   x,y = (2356, 2752)   RA, Dec = (06:03:27.192, 42:10:11.28) = (90.86330, 42.16980)   BPZ = 1.612 [1.271--2.080]   type = 11.00 (SB11_A_0_l)   stellarity = 0.66   chisq2 = 122.50   ODDS = 0.46   z_cluster = 0.228