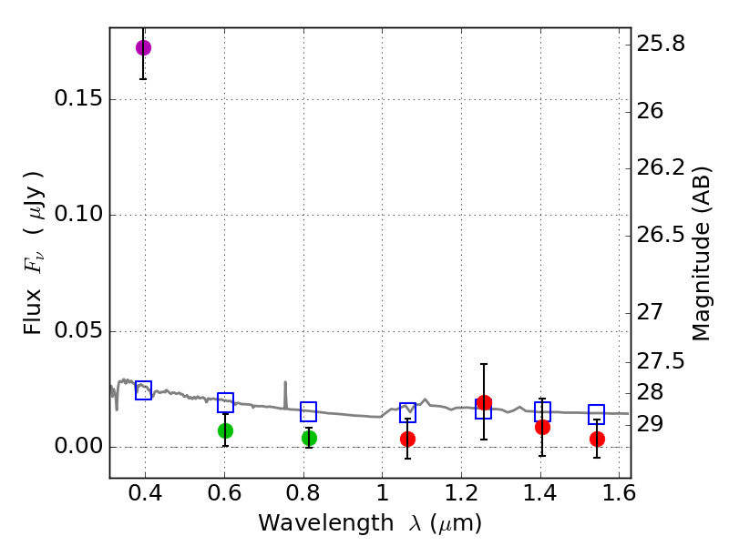
RXS0603+42-S IR detection object #3662

Color images and BPZ results
Catalog: 3662.cat
Black segments are analyzed here.   Roll mouse over color images to view segments.
Best viewed in a wide browser window (1200 pixels or more).   Download SED & P(z) plots to view larger versions.
In P(z) plots: Yellow lines mark the cluster redshift z = 0.228,  

Object #3662   x,y = (3210, 2763)   RA, Dec = (06:03:22.584, 42:10:12.00) = (90.84410, 42.17000)   BPZ = 1.698 [1.103--2.259]   type = 11.00 (SB11_A_0_l)   stellarity = 0.69   chisq2 = 31.37   ODDS = 0.44   z_cluster = 0.228