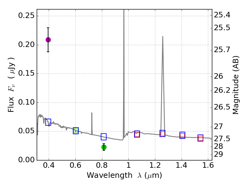
RXS0603+42-S IR detection object #3602

Color images and BPZ results
Catalog: 3602.cat
Black segments are analyzed here.   Roll mouse over color images to view segments.
Best viewed in a wide browser window (1200 pixels or more).   Download SED & P(z) plots to view larger versions.
In P(z) plots: Yellow lines mark the cluster redshift z = 0.228,  

Object #3602   x,y = (1176, 2789)   RA, Dec = (06:03:33.576, 42:10:13.80) = (90.88990, 42.17050)   BPZ = 1.594 [1.282--2.119]   type = 11.00 (SB11_A_0_l)   stellarity = 0.67   chisq2 = 50.12   ODDS = 0.39   z_cluster = 0.228