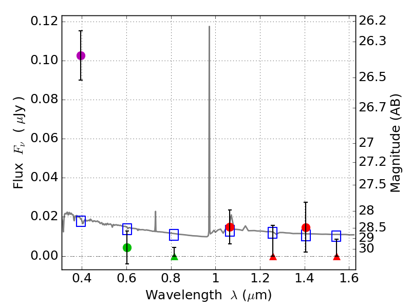
RXS0603+42-S IR detection object #3540

Color images and BPZ results
Catalog: 3540.cat
Black segments are analyzed here.   Roll mouse over color images to view segments.
Best viewed in a wide browser window (1200 pixels or more).   Download SED & P(z) plots to view larger versions.
In P(z) plots: Yellow lines mark the cluster redshift z = 0.228,  

Object #3540   x,y = (2382, 2812)   RA, Dec = (06:03:27.048, 42:10:14.88) = (90.86270, 42.17080)   BPZ = 1.612 [0.603--2.687]   type = 11.00 (SB11_A_0_l)   stellarity = 0.36   chisq2 = 13.35   ODDS = 0.25   z_cluster = 0.228