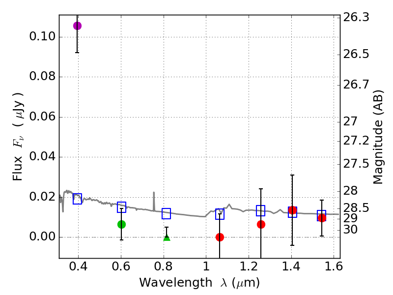
RXS0603+42-S IR detection object #3521

Color images and BPZ results
Catalog: 3521.cat
Black segments are analyzed here.   Roll mouse over color images to view segments.
Best viewed in a wide browser window (1200 pixels or more).   Download SED & P(z) plots to view larger versions.
In P(z) plots: Yellow lines mark the cluster redshift z = 0.228,  

Object #3521   x,y = (1920, 2819)   RA, Dec = (06:03:29.544, 42:10:15.60) = (90.87310, 42.17100)   BPZ = 1.697 [0.664--2.739]   type = 11.00 (SB11_A_0_l)   stellarity = 0.16   chisq2 = 12.08   ODDS = 0.23   z_cluster = 0.228