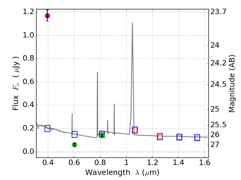
RXS0603+42-S IR detection object #3481

Color images and BPZ results
Catalog: 3481.cat
Black segments are analyzed here.   Roll mouse over color images to view segments.
Best viewed in a wide browser window (1200 pixels or more).   Download SED & P(z) plots to view larger versions.
In P(z) plots: Yellow lines mark the cluster redshift z = 0.228,  

Object #3481   x,y = (4081, 2833)   RA, Dec = (06:03:17.880, 42:10:16.32) = (90.82450, 42.17120)   BPZ = 1.091 [0.949--1.722]   type = 11.00 (SB11_A_0_l)   stellarity = 0.66   chisq2 = 425.80   ODDS = 0.44   z_cluster = 0.228