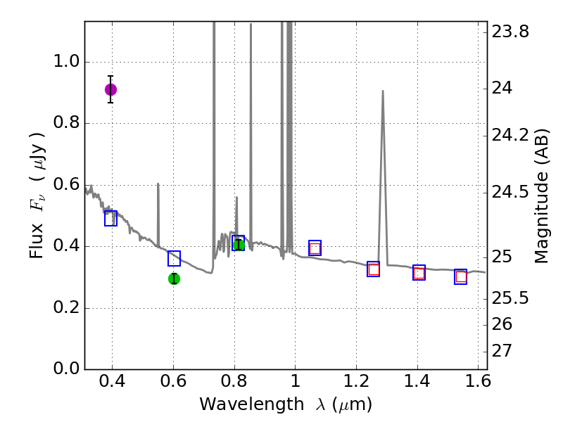
RXS0603+42-S IR detection object #3454

Color images and BPZ results
Catalog: 3454.cat
Black segments are analyzed here.   Roll mouse over color images to view segments.
Best viewed in a wide browser window (1200 pixels or more).   Download SED & P(z) plots to view larger versions.
In P(z) plots: Yellow lines mark the cluster redshift z = 0.228,  

Object #3454   x,y = (4095, 2846)   RA, Dec = (06:03:17.808, 42:10:17.04) = (90.82420, 42.17140)   BPZ = 0.974 [0.909--1.077]   type = 11.00 (SB11_A_0_l)   stellarity = 0.94   chisq2 = 61.17   ODDS = 0.93   z_cluster = 0.228