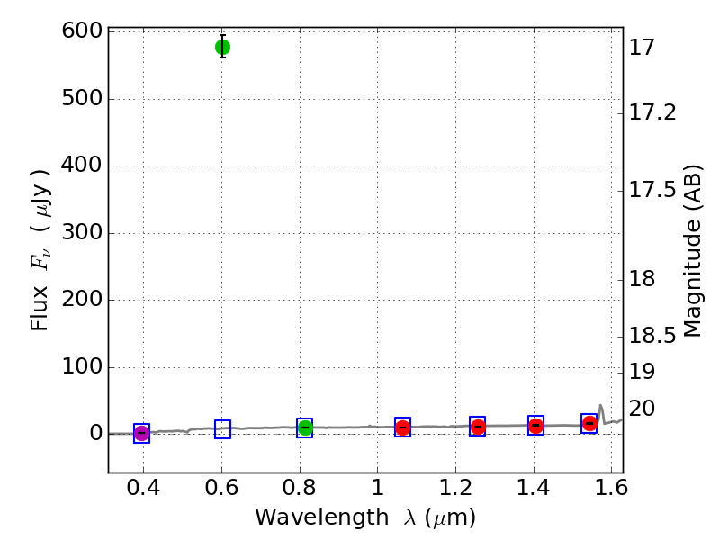
RXS0603+42-S IR detection object #3386

Color images and BPZ results
Catalog: 3386.cat
Black segments are analyzed here.   Roll mouse over color images to view segments.
Best viewed in a wide browser window (1200 pixels or more).   Download SED & P(z) plots to view larger versions.
In P(z) plots: Yellow lines mark the cluster redshift z = 0.228,  

Object #3386   x,y = (2811, 3235)   RA, Dec = (06:03:24.744, 42:10:40.44) = (90.85310, 42.17790)   BPZ = 3.216 [3.191--3.241]   type = 8.80 (SB2_B10 - SB1_B10)   stellarity = 1.00   chisq2 = 279.60   ODDS = 1.00   z_cluster = 0.228