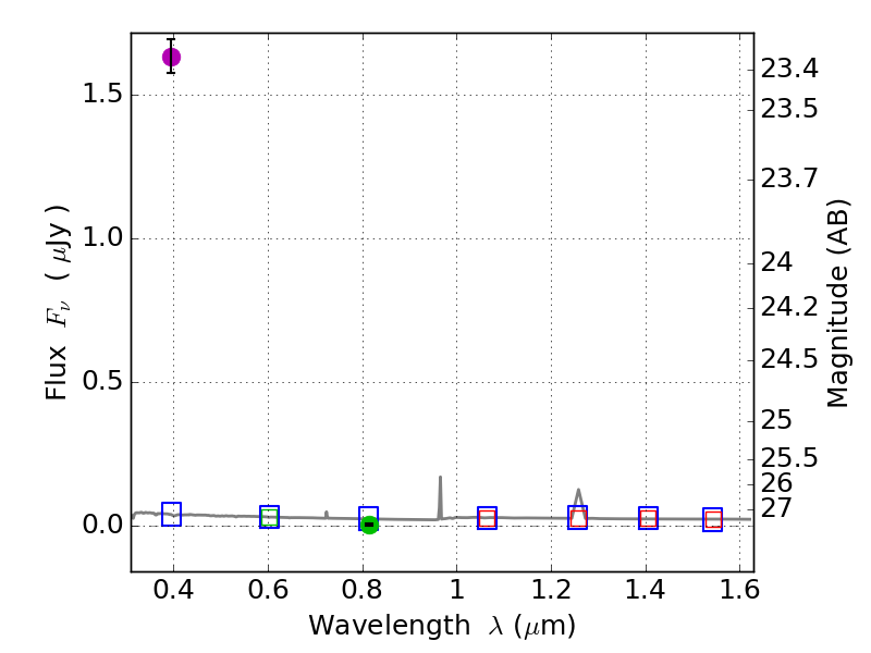
RXS0603+42-S IR detection object #3356

Color images and BPZ results
Catalog: 3356.cat
Black segments are analyzed here.   Roll mouse over color images to view segments.
Best viewed in a wide browser window (1200 pixels or more).   Download SED & P(z) plots to view larger versions.
In P(z) plots: Yellow lines mark the cluster redshift z = 0.228,  

Object #3356   x,y = (1136, 2893)   RA, Dec = (06:03:33.768, 42:10:19.92) = (90.89070, 42.17220)   BPZ = 1.595 [1.167--2.261]   type = 11.00 (SB11_A_0_l)   stellarity = 0.69   chisq2 = 725.80   ODDS = 0.32   z_cluster = 0.228