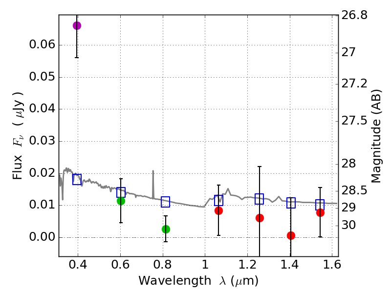
RXS0603+42-S IR detection object #3352

Color images and BPZ results
Catalog: 3352.cat
Black segments are analyzed here.   Roll mouse over color images to view segments.
Best viewed in a wide browser window (1200 pixels or more).   Download SED & P(z) plots to view larger versions.
In P(z) plots: Yellow lines mark the cluster redshift z = 0.228,  

Object #3352   x,y = (3150, 2977)   RA, Dec = (06:03:22.896, 42:10:24.96) = (90.84540, 42.17360)   BPZ = 1.702 [0.689--2.601]   type = 11.00 (SB11_A_0_l)   stellarity = 0.44   chisq2 = 6.82   ODDS = 0.26   z_cluster = 0.228