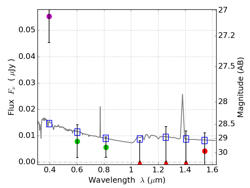
RXS0603+42-S IR detection object #3334

Color images and BPZ results
Catalog: 3334.cat
Black segments are analyzed here.   Roll mouse over color images to view segments.
Best viewed in a wide browser window (1200 pixels or more).   Download SED & P(z) plots to view larger versions.
In P(z) plots: Yellow lines mark the cluster redshift z = 0.228,  

Object #3334   x,y = (3520, 2911)   RA, Dec = (06:03:20.904, 42:10:21.00) = (90.83710, 42.17250)   BPZ = 1.763 [0.354--3.107]   type = 11.00 (SB11_A_0_l)   stellarity = 0.35   chisq2 = 4.96   ODDS = 0.18   z_cluster = 0.228