RXS0603+42-S IR detection object #3332

Color images and BPZ results
Catalog: 3332.cat
Black segments are analyzed here.   Roll mouse over color images to view segments.
Best viewed in a wide browser window (1200 pixels or more).   Download SED & P(z) plots to view larger versions.
In P(z) plots: Yellow lines mark the cluster redshift z = 0.228,  

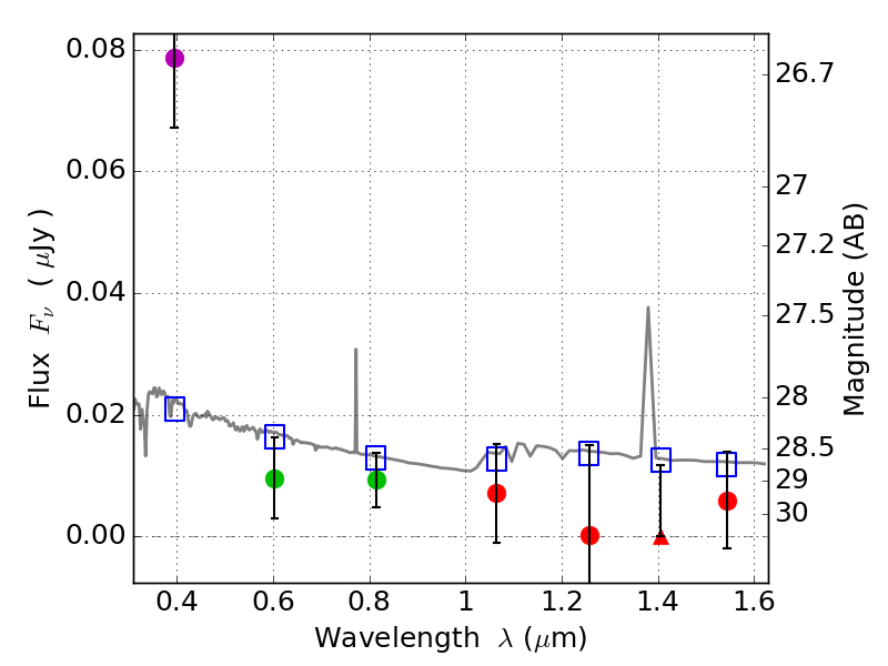
Object #3332   x,y = (3173, 2911)   RA, Dec = (06:03:22.776, 42:10:21.00) = (90.84490, 42.17250)   BPZ = 1.764 [0.511--2.578]   type = 11.00 (SB11_A_0_l)   stellarity = 0.08   chisq2 = 7.29   ODDS = 0.24   z_cluster = 0.228