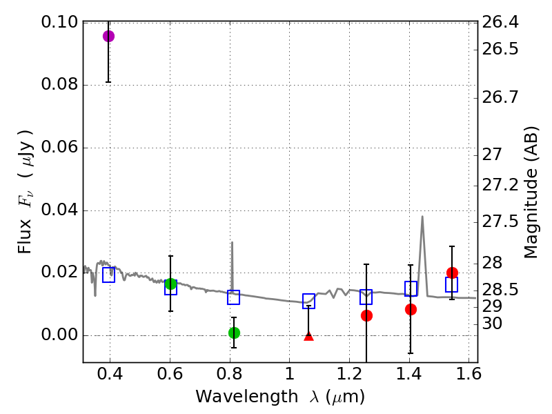
RXS0603+42-S IR detection object #3331

Color images and BPZ results
Catalog: 3331.cat
Black segments are analyzed here.   Roll mouse over color images to view segments.
Best viewed in a wide browser window (1200 pixels or more).   Download SED & P(z) plots to view larger versions.
In P(z) plots: Yellow lines mark the cluster redshift z = 0.228,  

Object #3331   x,y = (1957, 2912)   RA, Dec = (06:03:29.352, 42:10:21.00) = (90.87230, 42.17250)   BPZ = 1.887 [0.791--3.028]   type = 11.00 (SB11_A_0_l)   stellarity = 0.37   chisq2 = 8.18   ODDS = 0.20   z_cluster = 0.228