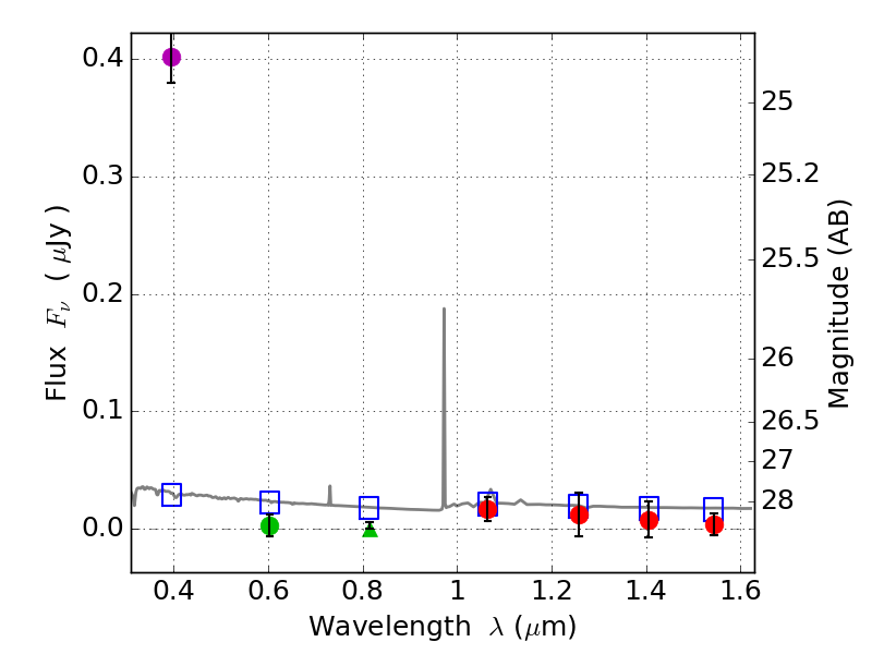
RXS0603+42-S IR detection object #3247

Color images and BPZ results
Catalog: 3247.cat
Black segments are analyzed here.   Roll mouse over color images to view segments.
Best viewed in a wide browser window (1200 pixels or more).   Download SED & P(z) plots to view larger versions.
In P(z) plots: Yellow lines mark the cluster redshift z = 0.228,  

Object #3247   x,y = (1780, 2943)   RA, Dec = (06:03:30.312, 42:10:22.80) = (90.87630, 42.17300)   BPZ = 1.612 [1.118--2.194]   type = 11.00 (SB11_A_0_l)   stellarity = 0.67   chisq2 = 70.39   ODDS = 0.40   z_cluster = 0.228