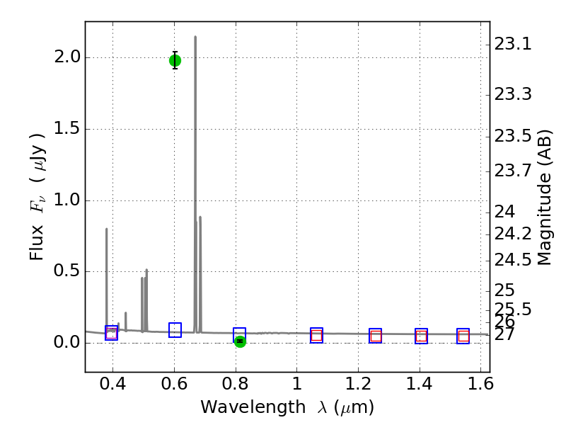
RXS0603+42-S IR detection object #323

Color images and BPZ results
Catalog: 323.cat
Black segments are analyzed here.   Roll mouse over color images to view segments.
Best viewed in a wide browser window (1200 pixels or more).   Download SED & P(z) plots to view larger versions.
In P(z) plots: Yellow lines mark the cluster redshift z = 0.228,  

Object #323   x,y = (2610, 4201)   RA, Dec = (06:03:25.824, 42:11:38.40) = (90.85760, 42.19400)   BPZ = 0.021 [0.010--2.178]   type = 11.00 (SB11_A_0_l)   stellarity = 0.91   chisq2 = 995.70   ODDS = 0.92   z_cluster = 0.228