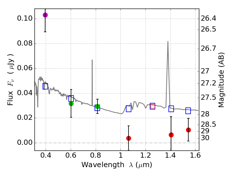
RXS0603+42-S IR detection object #3220

Color images and BPZ results
Catalog: 3220.cat
Black segments are analyzed here.   Roll mouse over color images to view segments.
Best viewed in a wide browser window (1200 pixels or more).   Download SED & P(z) plots to view larger versions.
In P(z) plots: Yellow lines mark the cluster redshift z = 0.228,  

Object #3220   x,y = (2176, 2954)   RA, Dec = (06:03:28.152, 42:10:23.52) = (90.86730, 42.17320)   BPZ = 1.763 [0.734--2.443]   type = 11.00 (SB11_A_0_l)   stellarity = 0.36   chisq2 = 8.92   ODDS = 0.35   z_cluster = 0.228