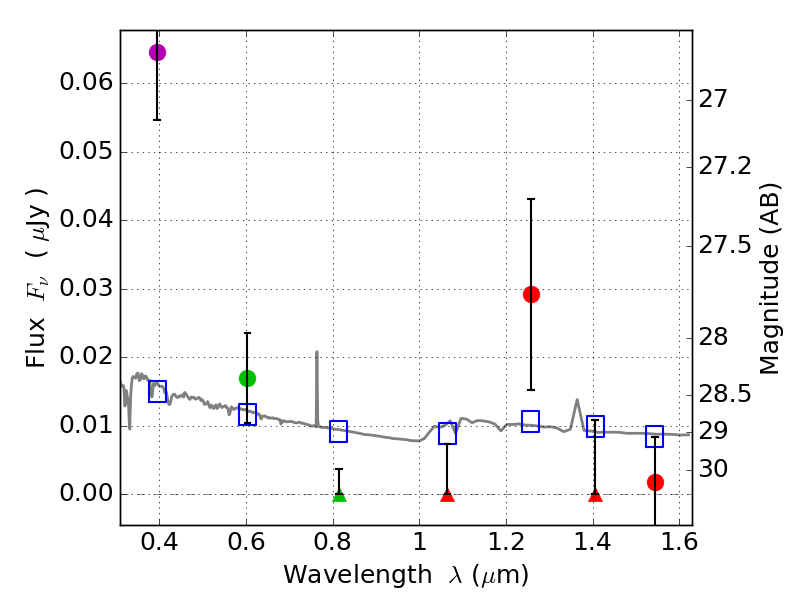
RXS0603+42-S IR detection object #3147

Color images and BPZ results
Catalog: 3147.cat
Black segments are analyzed here.   Roll mouse over color images to view segments.
Best viewed in a wide browser window (1200 pixels or more).   Download SED & P(z) plots to view larger versions.
In P(z) plots: Yellow lines mark the cluster redshift z = 0.228,  

Object #3147   x,y = (3491, 2979)   RA, Dec = (06:03:21.072, 42:10:24.96) = (90.83780, 42.17360)   BPZ = 1.728 [0.576--2.685]   type = 11.00 (SB11_A_0_l)   stellarity = 0.46   chisq2 = 9.01   ODDS = 0.28   z_cluster = 0.228