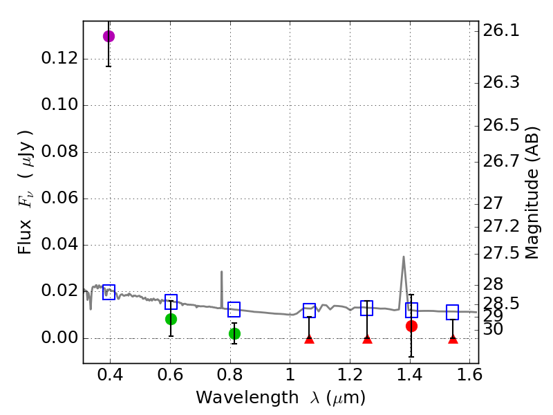
RXS0603+42-S IR detection object #3137

Color images and BPZ results
Catalog: 3137.cat
Black segments are analyzed here.   Roll mouse over color images to view segments.
Best viewed in a wide browser window (1200 pixels or more).   Download SED & P(z) plots to view larger versions.
In P(z) plots: Yellow lines mark the cluster redshift z = 0.228,  

Object #3137   x,y = (2152, 2982)   RA, Dec = (06:03:28.296, 42:10:25.32) = (90.86790, 42.17370)   BPZ = 1.763 [0.807--2.513]   type = 11.00 (SB11_A_0_l)   stellarity = 0.46   chisq2 = 19.69   ODDS = 0.31   z_cluster = 0.228