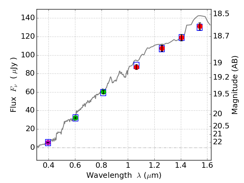
RXS0603+42-S IR detection object #3100

Color images and BPZ results
Catalog: 3100.cat
Black segments are analyzed here.   Roll mouse over color images to view segments.
Best viewed in a wide browser window (1200 pixels or more).   Download SED & P(z) plots to view larger versions.
In P(z) plots: Yellow lines mark the cluster redshift z = 0.228,  

Object #3100   x,y = (3596, 2975)   RA, Dec = (06:03:20.496, 42:10:24.96) = (90.83540, 42.17360)   BPZ = 0.154 [0.107--0.203]   type = 4.60 (ES0_B10 - Ell4_A_0)   stellarity = 0.03   chisq2 = 0.02   ODDS = 0.94   z_cluster = 0.228