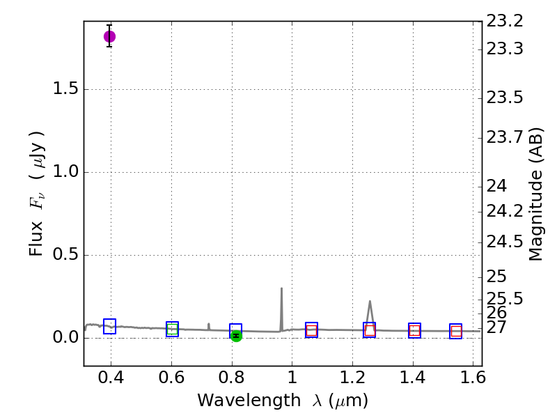
RXS0603+42-S IR detection object #3076

Color images and BPZ results
Catalog: 3076.cat
Black segments are analyzed here.   Roll mouse over color images to view segments.
Best viewed in a wide browser window (1200 pixels or more).   Download SED & P(z) plots to view larger versions.
In P(z) plots: Yellow lines mark the cluster redshift z = 0.228,  

Object #3076   x,y = (1251, 3017)   RA, Dec = (06:03:33.168, 42:10:27.48) = (90.88820, 42.17430)   BPZ = 1.594 [1.307--2.090]   type = 11.00 (SB11_A_0_l)   stellarity = 0.76   chisq2 = 691.80   ODDS = 0.41   z_cluster = 0.228