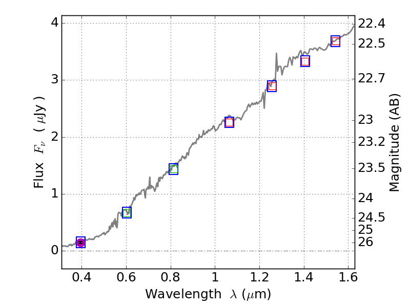
RXS0603+42-S IR detection object #307

Color images and BPZ results
Catalog: 307.cat
Black segments are analyzed here.   Roll mouse over color images to view segments.
Best viewed in a wide browser window (1200 pixels or more).   Download SED & P(z) plots to view larger versions.
In P(z) plots: Yellow lines mark the cluster redshift z = 0.228,  

Object #307   x,y = (1760, 4211)   RA, Dec = (06:03:30.408, 42:11:39.12) = (90.87670, 42.19420)   BPZ = 0.408 [0.051--0.865]   type = 6.00 (Sbc_B10)   stellarity = 0.67   chisq2 = 990.00   ODDS = 0.21   z_cluster = 0.228