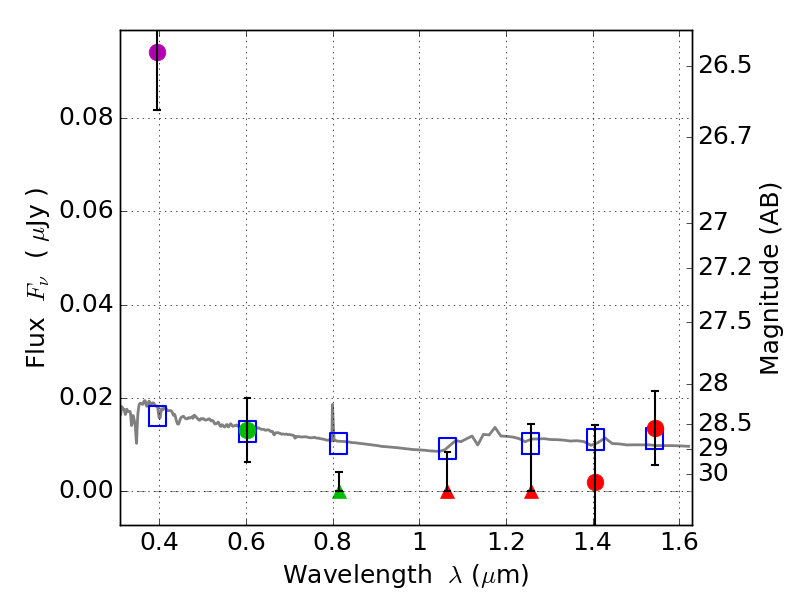
RXS0603+42-S IR detection object #3042

Color images and BPZ results
Catalog: 3042.cat
Black segments are analyzed here.   Roll mouse over color images to view segments.
Best viewed in a wide browser window (1200 pixels or more).   Download SED & P(z) plots to view larger versions.
In P(z) plots: Yellow lines mark the cluster redshift z = 0.228,  

Object #3042   x,y = (2785, 3032)   RA, Dec = (06:03:24.888, 42:10:28.20) = (90.85370, 42.17450)   BPZ = 1.856 [0.667--2.732]   type = 11.00 (SB11_A_0_l)   stellarity = 0.48   chisq2 = 11.51   ODDS = 0.22   z_cluster = 0.228