RXS0603+42-S IR detection object #2842

Color images and BPZ results
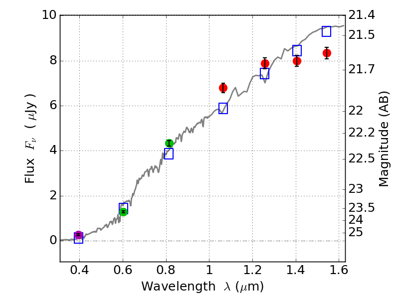
Catalog: 2842.cat
Black segments are analyzed here.   Roll mouse over color images to view segments.
Best viewed in a wide browser window (1200 pixels or more).   Download SED & P(z) plots to view larger versions.
In P(z) plots: Yellow lines mark the cluster redshift z = 0.228,  

Object #2842   x,y = (3419, 3116)   RA, Dec = (06:03:21.456, 42:10:33.24) = (90.83940, 42.17590)   BPZ = 0.479 [0.357--0.514]   type = 4.00 (Ell4_A_0)   stellarity = 0.98   chisq2 = 1.39   ODDS = 0.94   z_cluster = 0.228