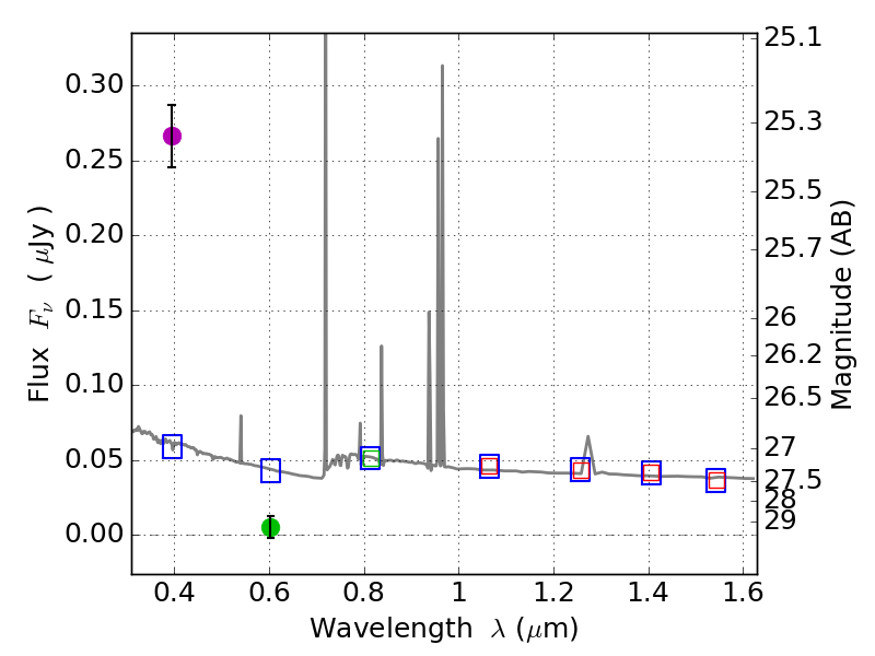
RXS0603+42-S IR detection object #264

Color images and BPZ results
Catalog: 264.cat
Black segments are analyzed here.   Roll mouse over color images to view segments.
Best viewed in a wide browser window (1200 pixels or more).   Download SED & P(z) plots to view larger versions.
In P(z) plots: Yellow lines mark the cluster redshift z = 0.228,  

Object #264   x,y = (2055, 4232)   RA, Dec = (06:03:28.824, 42:11:40.20) = (90.87010, 42.19450)   BPZ = 0.931 [0.825--2.213]   type = 11.00 (SB11_A_0_l)   stellarity = 0.65   chisq2 = 115.90   ODDS = 0.25   z_cluster = 0.228