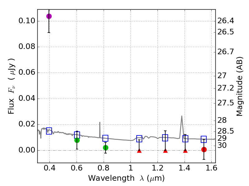
RXS0603+42-S IR detection object #2601

Color images and BPZ results
Catalog: 2601.cat
Black segments are analyzed here.   Roll mouse over color images to view segments.
Best viewed in a wide browser window (1200 pixels or more).   Download SED & P(z) plots to view larger versions.
In P(z) plots: Yellow lines mark the cluster redshift z = 0.228,  

Object #2601   x,y = (2984, 3253)   RA, Dec = (06:03:23.808, 42:10:41.52) = (90.84920, 42.17820)   BPZ = 1.763 [0.472--3.886]   type = 11.00 (SB11_A_0_l)   stellarity = 0.36   chisq2 = 13.60   ODDS = 0.21   z_cluster = 0.228