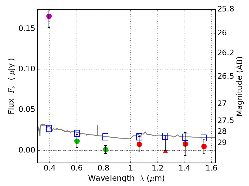
RXS0603+42-S IR detection object #2533

Color images and BPZ results
Catalog: 2533.cat
Black segments are analyzed here.   Roll mouse over color images to view segments.
Best viewed in a wide browser window (1200 pixels or more).   Download SED & P(z) plots to view larger versions.
In P(z) plots: Yellow lines mark the cluster redshift z = 0.228,  

Object #2533   x,y = (2621, 3284)   RA, Dec = (06:03:25.776, 42:10:43.32) = (90.85740, 42.17870)   BPZ = 1.700 [1.188--2.275]   type = 11.00 (SB11_A_0_l)   stellarity = 0.68   chisq2 = 26.86   ODDS = 0.43   z_cluster = 0.228