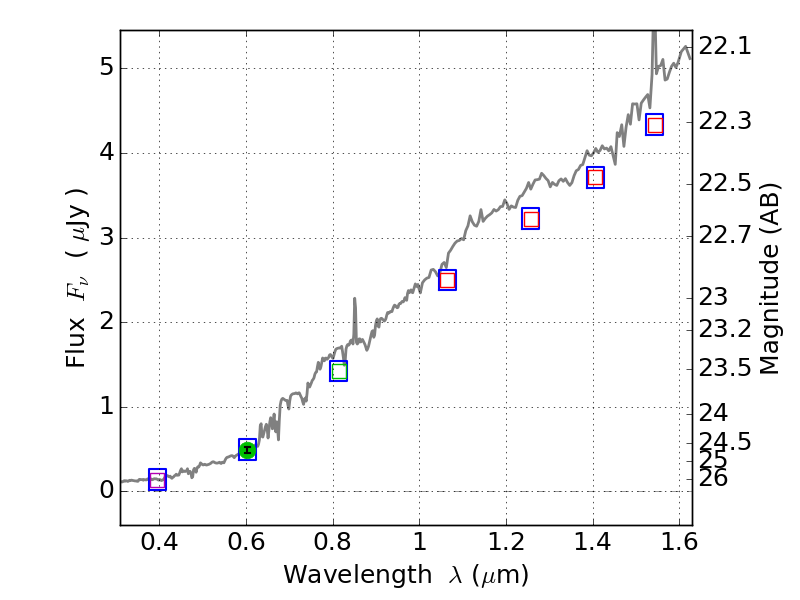
RXS0603+42-S IR detection object #2490

Color images and BPZ results
Catalog: 2490.cat
Black segments are analyzed here.   Roll mouse over color images to view segments.
Best viewed in a wide browser window (1200 pixels or more).   Download SED & P(z) plots to view larger versions.
In P(z) plots: Yellow lines mark the cluster redshift z = 0.228,  

Object #2490   x,y = (4434, 3322)   RA, Dec = (06:03:15.984, 42:10:45.48) = (90.81660, 42.17930)   BPZ = 0.701 [0.173--4.032]   type = 6.10 (Sbc_B10 - Scd_B10)   stellarity = 0.00   chisq2 = 990.00   ODDS = 0.09   z_cluster = 0.228