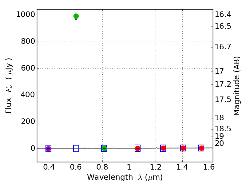
RXS0603+42-S IR detection object #2468

Color images and BPZ results
Catalog: 2468.cat
Black segments are analyzed here.   Roll mouse over color images to view segments.
Best viewed in a wide browser window (1200 pixels or more).   Download SED & P(z) plots to view larger versions.
In P(z) plots: Yellow lines mark the cluster redshift z = 0.228,  

Object #2468   x,y = (2791, 3184)   RA, Dec = (06:03:24.840, 42:10:37.20) = (90.85350, 42.17700)   BPZ = 0.332 [0.177--0.380]   type = 7.20 (Scd_B10 - SB1_B10)   stellarity = 1.00   chisq2 = 286.20   ODDS = 0.54   z_cluster = 0.228