RXS0603+42-S IR detection object #2373

Color images and BPZ results
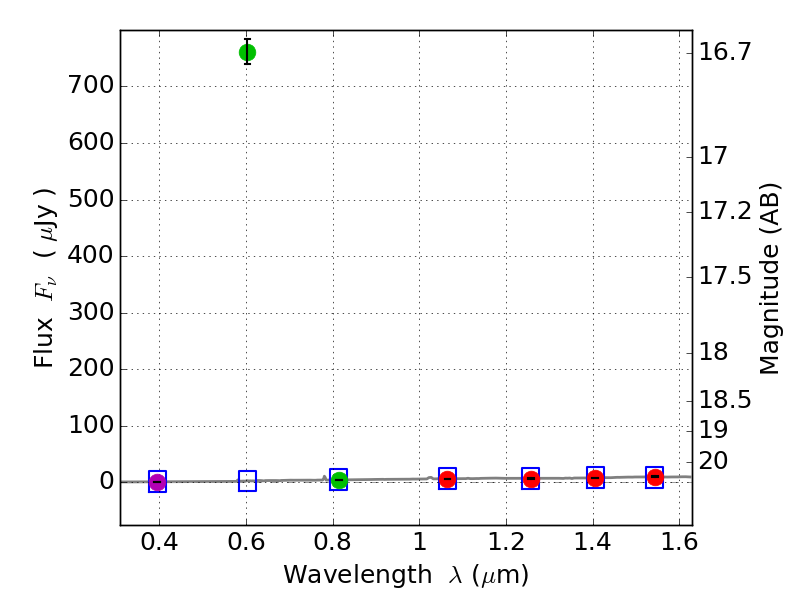
Catalog: 2373.cat
Black segments are analyzed here.   Roll mouse over color images to view segments.
Best viewed in a wide browser window (1200 pixels or more).   Download SED & P(z) plots to view larger versions.
In P(z) plots: Yellow lines mark the cluster redshift z = 0.228,  

Object #2373   x,y = (2820, 3259)   RA, Dec = (06:03:24.696, 42:10:41.88) = (90.85290, 42.17830)   BPZ = 0.560 [0.517--3.146]   type = 7.00 (Scd_B10)   stellarity = 1.00   chisq2 = 286.10   ODDS = 0.76   z_cluster = 0.228