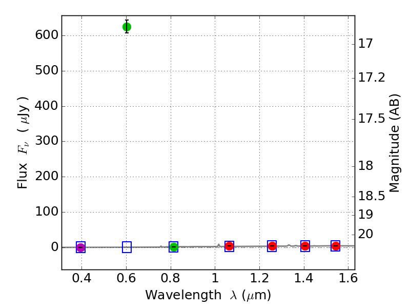
RXS0603+42-S IR detection object #2360

Color images and BPZ results
Catalog: 2360.cat
Black segments are analyzed here.   Roll mouse over color images to view segments.
Best viewed in a wide browser window (1200 pixels or more).   Download SED & P(z) plots to view larger versions.
In P(z) plots: Yellow lines mark the cluster redshift z = 0.228,  

Object #2360   x,y = (2823, 3266)   RA, Dec = (06:03:24.672, 42:10:42.24) = (90.85280, 42.17840)   BPZ = 1.033 [0.948--1.080]   type = 7.50 (SB1_B10 - Scd_B10)   stellarity = 1.00   chisq2 = 289.70   ODDS = 0.97   z_cluster = 0.228