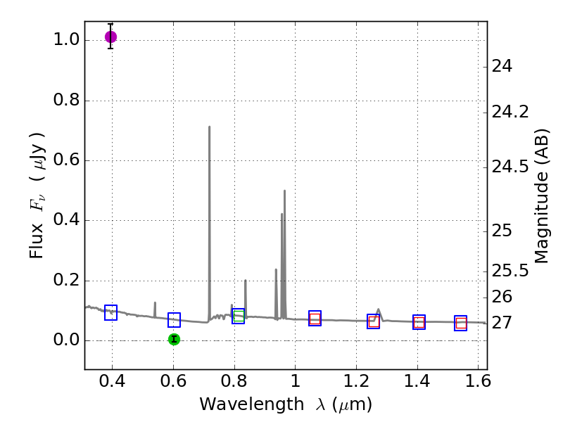
RXS0603+42-S IR detection object #2283

Color images and BPZ results
Catalog: 2283.cat
Black segments are analyzed here.   Roll mouse over color images to view segments.
Best viewed in a wide browser window (1200 pixels or more).   Download SED & P(z) plots to view larger versions.
In P(z) plots: Yellow lines mark the cluster redshift z = 0.228,  

Object #2283   x,y = (4312, 3411)   RA, Dec = (06:03:16.632, 42:10:50.88) = (90.81930, 42.18080)   BPZ = 0.930 [0.891--1.810]   type = 11.00 (SB11_A_0_l)   stellarity = 0.93   chisq2 = 545.80   ODDS = 0.44   z_cluster = 0.228