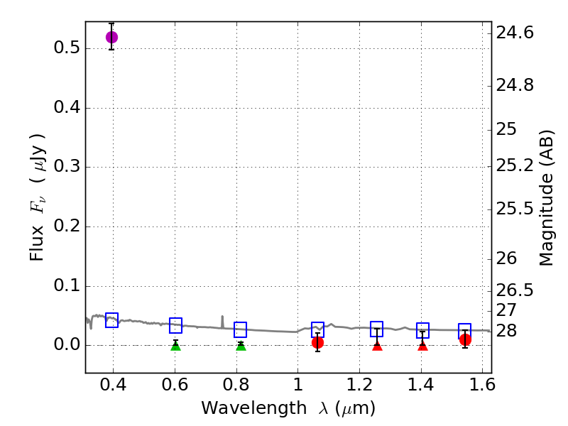
RXS0603+42-S IR detection object #2180

Color images and BPZ results
Catalog: 2180.cat
Black segments are analyzed here.   Roll mouse over color images to view segments.
Best viewed in a wide browser window (1200 pixels or more).   Download SED & P(z) plots to view larger versions.
In P(z) plots: Yellow lines mark the cluster redshift z = 0.228,  

Object #2180   x,y = (1781, 3473)   RA, Dec = (06:03:30.312, 42:10:54.84) = (90.87630, 42.18190)   BPZ = 1.700 [1.390--2.035]   type = 11.00 (SB11_A_0_l)   stellarity = 0.82   chisq2 = 122.20   ODDS = 0.57   z_cluster = 0.228