RXS0603+42-S IR detection object #211

Color images and BPZ results
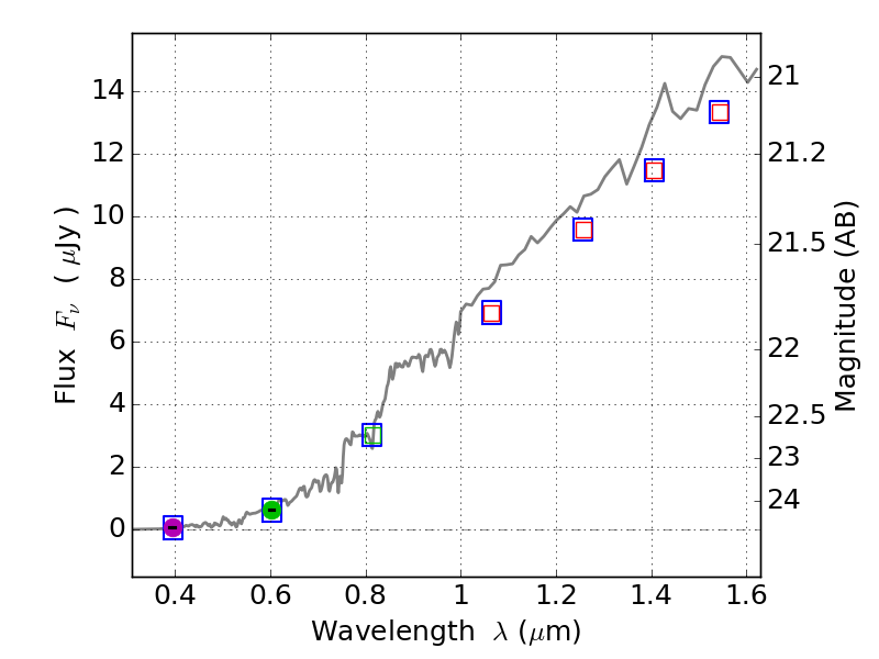
Catalog: 211.cat
Black segments are analyzed here.   Roll mouse over color images to view segments.
Best viewed in a wide browser window (1200 pixels or more).   Download SED & P(z) plots to view larger versions.
In P(z) plots: Yellow lines mark the cluster redshift z = 0.228,  

Object #211   x,y = (1886, 4234)   RA, Dec = (06:03:29.736, 42:11:40.20) = (90.87390, 42.19450)   BPZ = 0.891 [0.354--3.545]   type = 4.70 (ES0_B10 - Ell4_A_0)   stellarity = 0.68   chisq2 = 0.00   ODDS = 0.18   z_cluster = 0.228