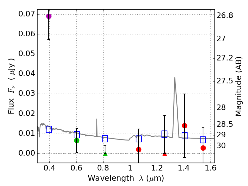
RXS0603+42-S IR detection object #2032

Color images and BPZ results
Catalog: 2032.cat
Black segments are analyzed here.   Roll mouse over color images to view segments.
Best viewed in a wide browser window (1200 pixels or more).   Download SED & P(z) plots to view larger versions.
In P(z) plots: Yellow lines mark the cluster redshift z = 0.228,  

Object #2032   x,y = (1939, 3522)   RA, Dec = (06:03:29.448, 42:10:57.72) = (90.87270, 42.18270)   BPZ = 1.695 [0.382--5.372]   type = 11.00 (SB11_A_0_l)   stellarity = 0.37   chisq2 = 7.00   ODDS = 0.14   z_cluster = 0.228