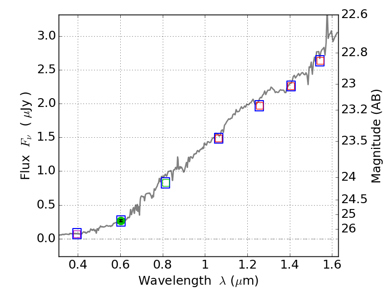
RXS0603+42-S IR detection object #1877

Color images and BPZ results
Catalog: 1877.cat
Black segments are analyzed here.   Roll mouse over color images to view segments.
Best viewed in a wide browser window (1200 pixels or more).   Download SED & P(z) plots to view larger versions.
In P(z) plots: Yellow lines mark the cluster redshift z = 0.228,  

Object #1877   x,y = (4371, 3572)   RA, Dec = (06:03:16.320, 42:11:00.60) = (90.81800, 42.18350)   BPZ = 0.745 [0.188--4.545]   type = 6.00 (Sbc_B10)   stellarity = 0.67   chisq2 = 990.00   ODDS = 0.09   z_cluster = 0.228