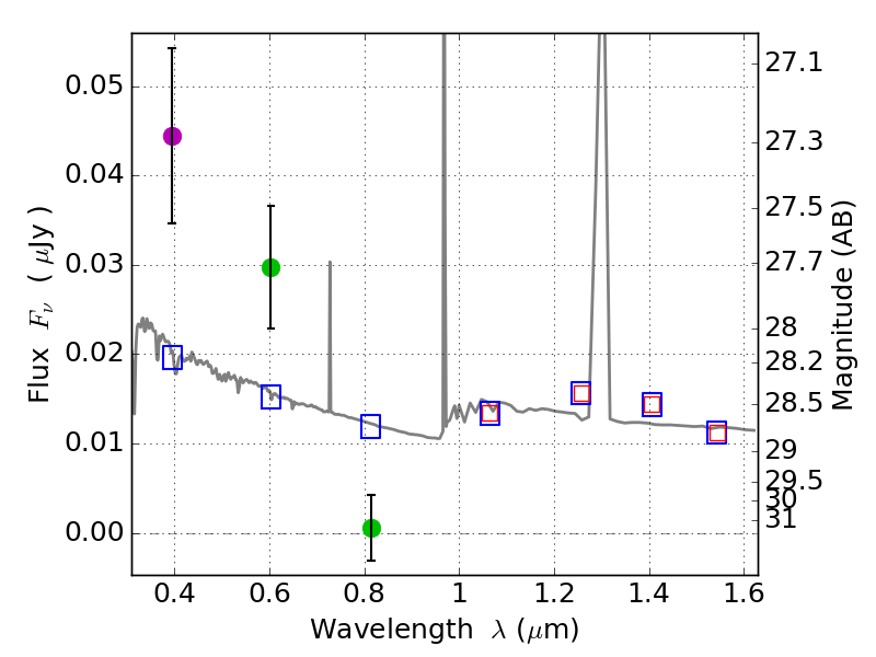
RXS0603+42-S IR detection object #1624

Color images and BPZ results
Catalog: 1624.cat
Black segments are analyzed here.   Roll mouse over color images to view segments.
Best viewed in a wide browser window (1200 pixels or more).   Download SED & P(z) plots to view larger versions.
In P(z) plots: Yellow lines mark the cluster redshift z = 0.228,  

Object #1624   x,y = (2199, 3662)   RA, Dec = (06:03:28.056, 42:11:06.00) = (90.86690, 42.18500)   BPZ = 1.597 [1.018--2.711]   type = 11.00 (SB11_A_0_l)   stellarity = 0.37   chisq2 = 18.82   ODDS = 0.21   z_cluster = 0.228