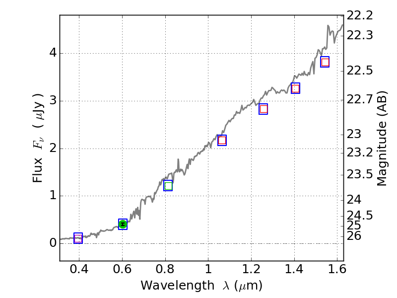
RXS0603+42-S IR detection object #1549

Color images and BPZ results
Catalog: 1549.cat
Black segments are analyzed here.   Roll mouse over color images to view segments.
Best viewed in a wide browser window (1200 pixels or more).   Download SED & P(z) plots to view larger versions.
In P(z) plots: Yellow lines mark the cluster redshift z = 0.228,  

Object #1549   x,y = (4091, 3681)   RA, Dec = (06:03:17.832, 42:11:07.08) = (90.82430, 42.18530)   BPZ = 0.716 [0.178--4.203]   type = 6.00 (Sbc_B10)   stellarity = 0.19   chisq2 = 990.00   ODDS = 0.09   z_cluster = 0.228