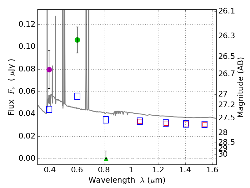
RXS0603+42-S IR detection object #1405

Color images and BPZ results
Catalog: 1405.cat
Black segments are analyzed here.   Roll mouse over color images to view segments.
Best viewed in a wide browser window (1200 pixels or more).   Download SED & P(z) plots to view larger versions.
In P(z) plots: Yellow lines mark the cluster redshift z = 0.228,  

Object #1405   x,y = (3099, 3722)   RA, Dec = (06:03:23.184, 42:11:09.60) = (90.84660, 42.18600)   BPZ = 0.024 [0.017--2.380]   type = 11.00 (SB11_A_0_l)   stellarity = 0.42   chisq2 = 41.61   ODDS = 0.12   z_cluster = 0.228