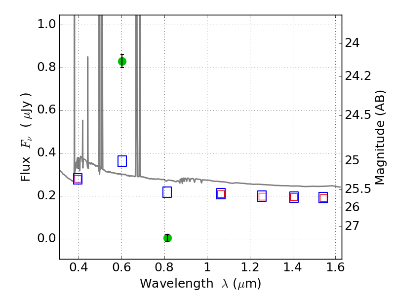
RXS0603+42-S IR detection object #1351

Color images and BPZ results
Catalog: 1351.cat
Black segments are analyzed here.   Roll mouse over color images to view segments.
Best viewed in a wide browser window (1200 pixels or more).   Download SED & P(z) plots to view larger versions.
In P(z) plots: Yellow lines mark the cluster redshift z = 0.228,  

Object #1351   x,y = (3964, 3758)   RA, Dec = (06:03:18.504, 42:11:11.76) = (90.82710, 42.18660)   BPZ = 0.016 [0.010--0.032]   type = 11.00 (SB11_A_0_l)   stellarity = 0.90   chisq2 = 202.80   ODDS = 1.00   z_cluster = 0.228