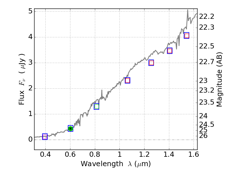
RXS0603+42-S IR detection object #130

Color images and BPZ results
Catalog: 130.cat
Black segments are analyzed here.   Roll mouse over color images to view segments.
Best viewed in a wide browser window (1200 pixels or more).   Download SED & P(z) plots to view larger versions.
In P(z) plots: Yellow lines mark the cluster redshift z = 0.228,  

Object #130   x,y = (2305, 4287)   RA, Dec = (06:03:27.480, 42:11:43.44) = (90.86450, 42.19540)   BPZ = 0.708 [0.175--4.117]   type = 6.00 (Sbc_B10)   stellarity = 0.75   chisq2 = 990.00   ODDS = 0.09   z_cluster = 0.228