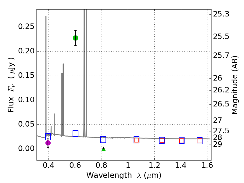
RXS0603+42-S IR detection object #1266

Color images and BPZ results
Catalog: 1266.cat
Black segments are analyzed here.   Roll mouse over color images to view segments.
Best viewed in a wide browser window (1200 pixels or more).   Download SED & P(z) plots to view larger versions.
In P(z) plots: Yellow lines mark the cluster redshift z = 0.228,  

Object #1266   x,y = (1734, 3860)   RA, Dec = (06:03:30.552, 42:11:17.88) = (90.87730, 42.18830)   BPZ = 0.025 [0.012--2.973]   type = 11.00 (SB11_A_0_l)   stellarity = 0.67   chisq2 = 182.80   ODDS = 0.38   z_cluster = 0.228