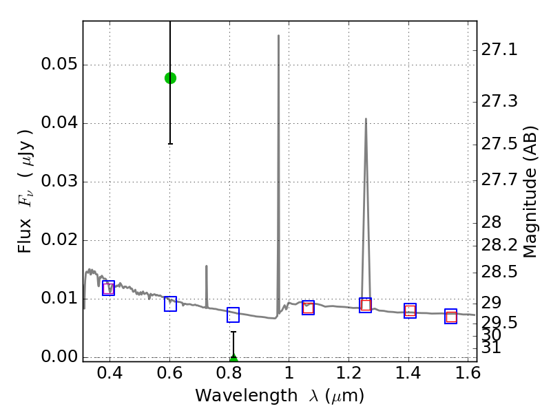
RXS0603+42-S IR detection object #1110

Color images and BPZ results
Catalog: 1110.cat
Black segments are analyzed here.   Roll mouse over color images to view segments.
Best viewed in a wide browser window (1200 pixels or more).   Download SED & P(z) plots to view larger versions.
In P(z) plots: Yellow lines mark the cluster redshift z = 0.228,  

Object #1110   x,y = (3576, 3877)   RA, Dec = (06:03:20.616, 42:11:18.96) = (90.83590, 42.18860)   BPZ = 1.587 [0.232--5.097]   type = 11.00 (SB11_A_0_l)   stellarity = 0.24   chisq2 = 14.33   ODDS = 0.08   z_cluster = 0.228