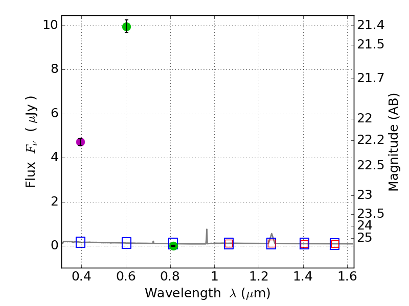
RXS0603+42-S ACS+IR detection object #9103

Color images and BPZ results
Catalog: 9103.cat
Black segments are analyzed here.   Roll mouse over color images to view segments.
Best viewed in a wide browser window (1200 pixels or more).   Download SED & P(z) plots to view larger versions.
In P(z) plots: Yellow lines mark the cluster redshift z = 0.228,  

Object #9103   x,y = (3448, 1014)   RA, Dec = (06:03:21.312, 42:08:27.24) = (90.83880, 42.14090)   BPZ = 1.594 [1.408--1.984]   type = 11.00 (SB11_A_0_l)   stellarity = 1.00   chisq2 = 2126.00   ODDS = 0.53   z_cluster = 0.228