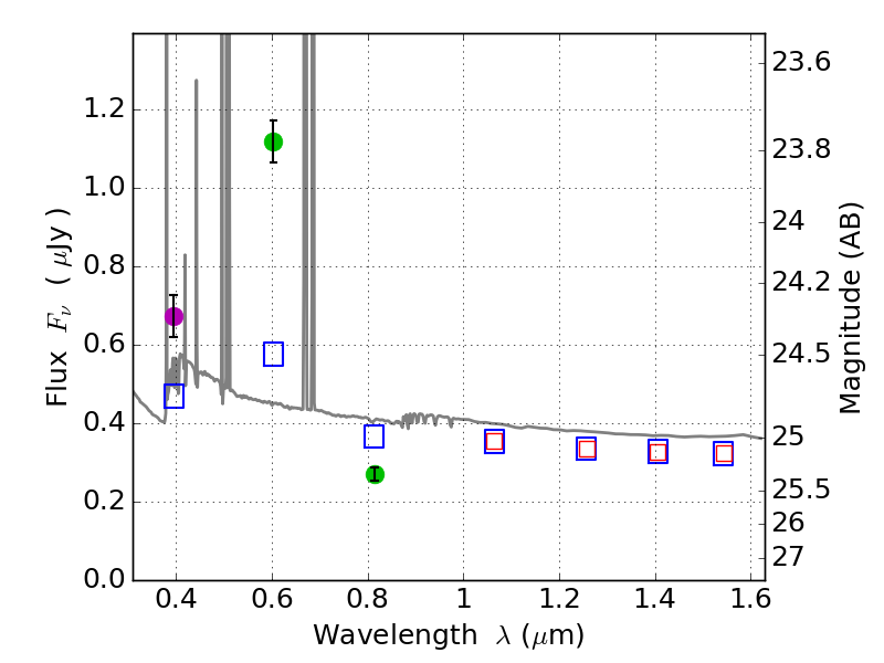
RXS0603+42-S ACS+IR detection object #8982

Color images and BPZ results
Catalog: 8982.cat
Black segments are analyzed here.   Roll mouse over color images to view segments.
Best viewed in a wide browser window (1200 pixels or more).   Download SED & P(z) plots to view larger versions.
In P(z) plots: Yellow lines mark the cluster redshift z = 0.228,  

Object #8982   x,y = (3403, 1048)   RA, Dec = (06:03:21.552, 42:08:29.04) = (90.83980, 42.14140)   BPZ = 0.017 [0.010--0.034]   type = 11.00 (SB11_A_0_l)   stellarity = 0.70   chisq2 = 82.46   ODDS = 1.00   z_cluster = 0.228