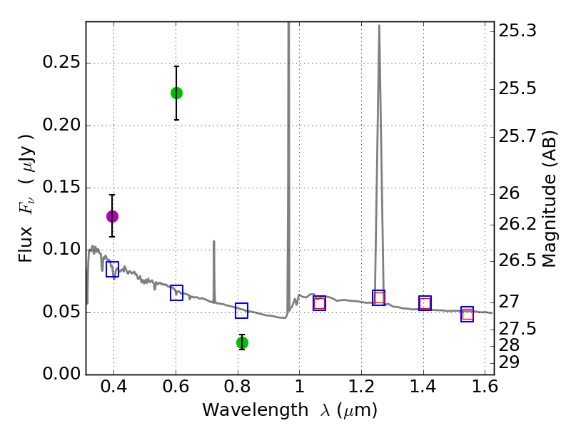
RXS0603+42-S ACS+IR detection object #8949

Color images and BPZ results
Catalog: 8949.cat
Black segments are analyzed here.   Roll mouse over color images to view segments.
Best viewed in a wide browser window (1200 pixels or more).   Download SED & P(z) plots to view larger versions.
In P(z) plots: Yellow lines mark the cluster redshift z = 0.228,  

Object #8949   x,y = (3251, 1072)   RA, Dec = (06:03:22.368, 42:08:30.48) = (90.84320, 42.14180)   BPZ = 1.595 [0.026--2.145]   type = 11.00 (SB11_A_0_l)   stellarity = 0.53   chisq2 = 68.15   ODDS = 0.39   z_cluster = 0.228