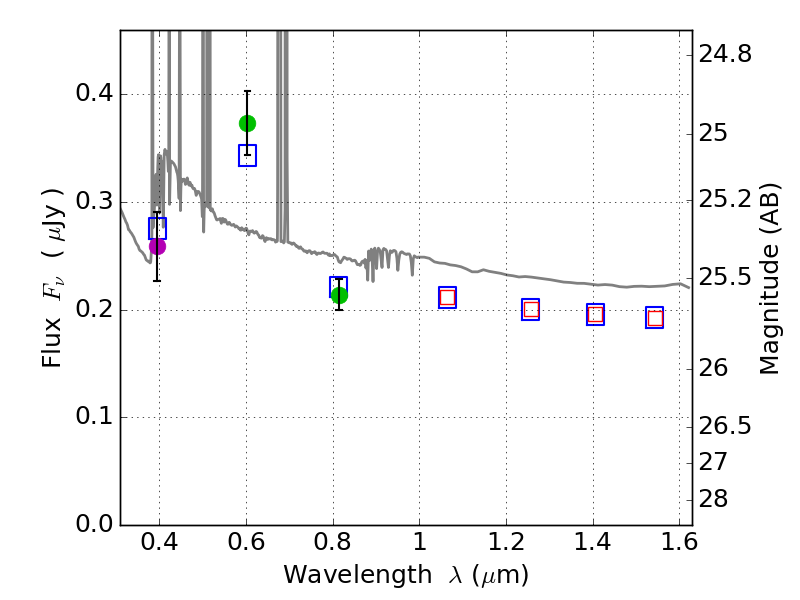
RXS0603+42-S ACS+IR detection object #8793

Color images and BPZ results
Catalog: 8793.cat
Black segments are analyzed here.   Roll mouse over color images to view segments.
Best viewed in a wide browser window (1200 pixels or more).   Download SED & P(z) plots to view larger versions.
In P(z) plots: Yellow lines mark the cluster redshift z = 0.228,  

Object #8793   x,y = (3301, 1120)   RA, Dec = (06:03:22.104, 42:08:33.36) = (90.84210, 42.14260)   BPZ = 0.031 [0.012--2.713]   type = 11.00 (SB11_A_0_l)   stellarity = 0.07   chisq2 = 0.91   ODDS = 0.71   z_cluster = 0.228