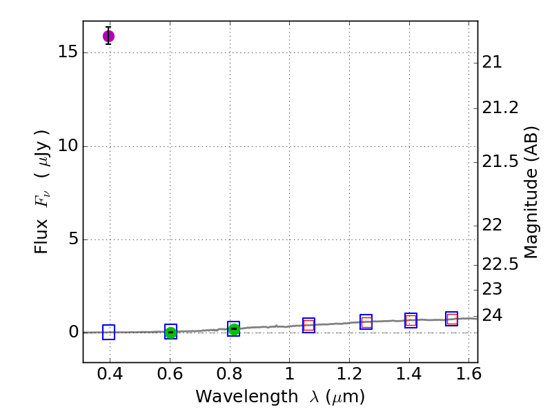
RXS0603+42-S ACS+IR detection object #861

Color images and BPZ results
Catalog: 861.cat
Black segments are analyzed here.   Roll mouse over color images to view segments.
Best viewed in a wide browser window (1200 pixels or more).   Download SED & P(z) plots to view larger versions.
In P(z) plots: Yellow lines mark the cluster redshift z = 0.228,  

Object #861   x,y = (2704, 4048)   RA, Dec = (06:03:25.320, 42:11:29.04) = (90.85550, 42.19140)   BPZ = 0.914 [0.618--6.026]   type = 6.00 (Sbc_B10)   stellarity = 1.00   chisq2 = 1133.00   ODDS = 0.28   z_cluster = 0.228