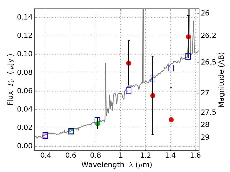
RXS0603+42-S ACS+IR detection object #8381

Color images and BPZ results
Catalog: 8381.cat
Black segments are analyzed here.   Roll mouse over color images to view segments.
Best viewed in a wide browser window (1200 pixels or more).   Download SED & P(z) plots to view larger versions.
In P(z) plots: Yellow lines mark the cluster redshift z = 0.228,  

Object #8381   x,y = (1684, 1264)   RA, Dec = (06:03:30.816, 42:08:42.00) = (90.87840, 42.14500)   BPZ = 1.360 [0.542--6.065]   type = 7.50 (SB1_B10 - Scd_B10)   stellarity = 0.03   chisq2 = 2.53   ODDS = 0.17   z_cluster = 0.228