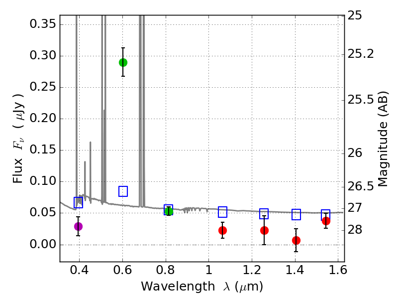
RXS0603+42-S ACS+IR detection object #8217

Color images and BPZ results
Catalog: 8217.cat
Black segments are analyzed here.   Roll mouse over color images to view segments.
Best viewed in a wide browser window (1200 pixels or more).   Download SED & P(z) plots to view larger versions.
In P(z) plots: Yellow lines mark the cluster redshift z = 0.228,  

Object #8217   x,y = (2461, 1321)   RA, Dec = (06:03:26.616, 42:08:45.60) = (90.86090, 42.14600)   BPZ = 0.038 [0.013--3.217]   type = 11.00 (SB11_A_0_l)   stellarity = 0.62   chisq2 = 23.46   ODDS = 0.47   z_cluster = 0.228